Demographic Influences on Landscape Management Change in Maricopa County, AZ

28 June 2015

Michael Minn
Department of Natural Resources and Environmental Sciences
The University of Illinois Urbana-Champaign
michaelminn.com

1. Introduction

This report details the results of a preliminary investigation of the relationship between demographic characteristics, levels of vegetation, and trajectories of change in vegetation levels in census tracts in Maricopa County over the period 2002-2014.

Four different types of models were built in the statistical package R to relate NDVI and NDVI change to demographic and aggregated parcel data: linear regression models (lm), generalized additive models (gam package), random forest models (randomForest package), and conditional inference trees (partykit package)

Model fits were not particularly strong (R2 in the 300s) and different models flagged different sets of variables as significant. However, the presence of patterns in the data gives justification for further investigation.

At the macro level, additional variables, non-linear modeling approaches, and investigation of nested effects may yield fruitful results.

At the micro level, interrogation of specific high-NDVI or highly-changed NDVI tracts may help identify quantifiable characteristics that can be incorporated into the overall models.

2. Methods

2.1 Data

2.1.1 Census Data

Demographic data for 2000-2008 was taken from the 2000 census. Demographic data for 2009-2013 was taken from the last years of the American Community Survey (ACS) 5-year averages (e.g. data for 2009 taken from the 2005-2009 ACS).

2010 Census Tracts were used for spatial boundaries. Since most changes to tracts between the 2000 and 2010 census involved splitting tracts, tract values prior to 2010 were allocated to 2010 tracts contained within associated 2000 tracts.

Census variables include:

2.1.2 Landsat Data

Level of vegetation in a tract was measured using the median Normalized Difference Vegetation Index (NDVI) for all Landsat pixels with centroids within the boundaries within that tract.

NDVI is a normalized ratio of reflected near infrared (NIR) light, which is related to the height and total area of vegetation, and red light, which is related to health (or "greenness") of the vegetation, and is calculated as:

NDVI = (NIR - RED) / (NIR + RED)

For this analysis we used Landsat path 37, row 37, which covered 95% of the county's residential parcels. The Landsat series of sensors captures biweekly imagery (approximately 26 images per year) at 30 m2 resolution, and have a historical archive dating back to approximately 1984 from which NDVI can be calculated. We used Landsat Five Thematic Mapper (TM) data for the period 4 January 2002 through 4 November 2011 and Landsat Seven Enhanced Thematic Mapper Plus (ETMþ) data for the period 12 January 2002 through 31 January 2012 that was downloaded from the USGS EarthExplorer website.

The fmask raster (Zhu & Woodcock, 2012) provided with the Landsat multi- spectral data permitted masking of cloud-covered areas. Some data was also missing from the Landsat Seven scenes due to the scan- line-corrector (SLC) problem, which results in a loss of around 22% of the pixels within any given scene (USGS, 2013). Because the two satellite systems provided interleaved 16-day passes, no attempt was made to interpolate missing data within individual scenes.

2.1.3 Parcel Data

Tract level data on parcels was derived from from the 2013 ST 42030 residential parcel data file and parcel shapefiles acquired from the Maricopa County Assessor's Office.

Potential lawn area for each parcel was calculated as:

PLA = parcel_area - (building_living_area / floors) - pool_area

Foreclosure data was acquired from a commercial vendor (The Information Market, 2013) covering the period from 2002-2012. The database contained 462,380 records, representing 341,983 distinct parcels or approximately 28% of the 1,214,578 residential parcels documented by the Maricopa County Assessor's Office (2013). Of the foreclosure records, 242,638 (52% of total records) indicated a completed foreclosure (Trustee's Deed or TD), representing 232,266 distinct parcels or 19% of total number of residential parcels as of 2013.

2.1.4 Climate Data

NDVI is affected by climate since vegetation levels rise and fall with as climate conditions became more and less favorable for growth. Rainfall alone and rainfall minus potential evapotranspiration (PET) were tried as climate signals. Running sums of 30 and 60 days were used to account for the persistence of moisture in the environment after otherwise transient rainfall events. Various temporal lags were also tested to account for both delays in vegetation response to changed conditions and sampling anomalies caused by the 16-day cycle of Landsat observations.

The following climate variables were considered:

The results of correlating these variables with overall county-wide NDVI at various temporal lags resulted in the following:

Accordingly, RAINFALL60 with a nine-day lag is used as a climate variable in the models below.

Correlation of climate variables with overall NDVI at various time lags
(analysis/regression-tract/climate-ndvi-correlation.png)

2.1.5 Dummy Variable

The GEOINDEX dummy variable is a sequential index of tracts in the database ordered by census bureau GEOID.

2.2 Data Organization

Two different organizational structures were used to analyze a synthesis of the demographic, parcel, and NDVI data.

Panel Analysis: The first structure involved one large table with separate rows for each NDVI date in each census tract. Columns were NDVI values and associated ACS and aggregated parcel data on the given NDVI dates. This structure permitted the creation of regression models (panel regression?) relating NDVI to demographic and parcel data across time and space.

Trend Analysis: The second structure involved performing linear regression for each census tract on the NDVI time series associated with that tract. The resulting slope coefficients indicate the trajectory of vegetation change (if any) on each census tract and the intercept coefficients indicate the overall level of vegetation relative to other census tracts. Regression models were then created to relate general vegetation level and vegetation change to 2013 ACS data and aggregated 2013 parcel data.

2.3 Models

Four different types of models were used to relate NDVI and NDVI change to demographic and aggregated parcel data: linear regression models, generalized additive models (gam package), random forest models (randomForest package), and conditional inference trees (partykit)

Variables were normalized (z-score) with the linear regression models so coefficients reflected the comparative importance of the variables to the model.

Variables with all other models were left unnormalized so the values in the model outputs could be interpreted in the context of the ranges of the individual variables.

While additional variables other than the ones listed above were investigated, variables that were strongly correlated to each other were removed to avoid confusing the GAM. Variable correlations are listed in the appendix.

3. Results

3.1 Panel Analysis

Panel analysis with the four models resulted in conflicting results about which predictors were most important, reflecting the relative weakness of all models. The ranking of importance (in decreasing order) from the linear model and random forest model:

Rank	Linear Model	Random Forest	GAM
-----------------------------------------------------
1	MEANHHSIZE      MEDCONSTYR	MEDCONSTYR
2	RAINFALL60      SQMLAWN 	SQMLAWN
3	MEDIANAGE       MEDHHINC	MEDHHINC
4	MEDCONSTYR      MEANHHSIZE	MEDIANAGE
5	PCUNEMPLOYED    MEDIANAGE	GEOINDEX
6	PCBORNUSA       GEOINDEX	DATE
7	PCTURNOVER      SQMLAND		MEANHHSIZE
8	FORECLOSED      PCOWNEROCC	FORECLOSED
9	PCOWNEROCC      PCBORNUSA	RAINFALL60
10	GEOINDEX        PCTURNOVER	SQMLAND
11	DATE            PCUNEMPLOYED	PCOWNEROCC
12	MEDHHINC        SQMWATER	PCTURNOVER
13	SQMLAWN         RAINFALL60	PCBORNUSA
14	SQMLAND         FORECLOSED	PCUNEMPLOYED
-----------------------------------------------------

3.1.1 Linear Model

As shown in the graph below, the linear model fit was modestly strong (R2 = 0.252). As would be expected, the climate signal (RAINFALL60) had a strong positive influence on NDVI. Median year of construction (MEDCONSTYR) had a strong negative influence on NDVI, implying that neighborhoods have less vegetation the newer they are. However, the comparatively strong negative relationship between NDVI and household size (MEANHHSIZE), median age (MEDIANAGE) and percent unemployment (PCUNEMPLOYED) is less intuitive. Median household income (MEDHHINC) is found to have only a limited influence in this linear model.

Linear model NDVI prediction vs actual values
(analysis/regression-tract/prediction-linear.png)

Call:
lm(formula = NDVI ~ ., data = regression_data)

Residuals:
     Min       1Q   Median       3Q      Max
-0.21636 -0.02755 -0.00633  0.02014  0.68708

Coefficients:  
               Estimate Std. Error  t value Pr(>|t|)
(Intercept)   2.923e+00  1.409e-02  207.454   <2e-16 ***
MEANHHSIZE   -2.159e-02  2.482e-04  -86.988   <2e-16 ***
RAINFALL60    6.524e-03  8.389e-05   77.764   <2e-16 ***
MEDIANAGE    -1.575e-03  1.492e-05 -105.527   <2e-16 ***
MEDCONSTYR   -1.351e-03  7.487e-06 -180.432   <2e-16 ***
PCUNEMPLOYED -4.232e-04  4.832e-05   -8.758   <2e-16 ***
PCBORNUSA     3.597e-04  1.355e-05   26.539   <2e-16 ***
PCTURNOVER    2.455e-04  6.683e-06   36.741   <2e-16 ***
FORECLOSED   -2.019e-04  8.033e-06  -25.138   <2e-16 ***
PCOWNEROCC    6.044e-06  2.676e-07   22.583   <2e-16 ***
GEOINDEX     -4.399e-06  3.693e-07  -11.912   <2e-16 ***
DATE         -1.275e-06  1.328e-07   -9.603   <2e-16 ***
MEDHHINC      6.273e-07  5.064e-09  123.878   <2e-16 ***
SQMLAWN       3.028e-09  7.483e-11   40.469   <2e-16 ***
SQMLAND      -9.675e-11  6.079e-12  -15.917   <2e-16 ***
---
Signif. codes:  0 '***' 0.001 '**' 0.01 '*' 0.05 '.' 0.1 ' ' 1

Residual standard error: 0.04305 on 216291 degrees of freedom
  (64679 observations deleted due to missingness)
Multiple R-squared:  0.2515,    Adjusted R-squared:  0.2515
F-statistic:  5192 on 14 and 216291 DF,  p-value: < 2.2e-16

3.1.2 Generalized Additive Model

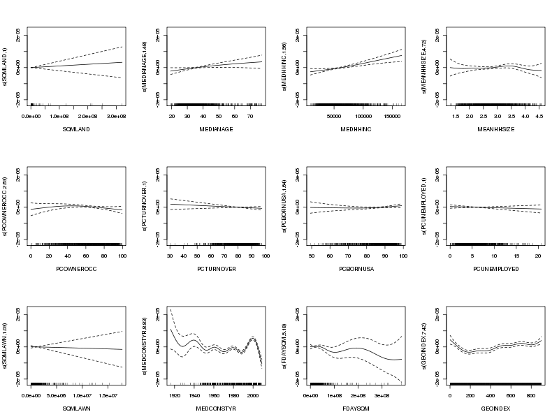
As shown in the graph below, the generalized additive model (GAM) fit was stronger than the linear model (R2 = 0.412) and the smoothing graphs show the variable relationships to frequently be non-linear. Median construction year (MEDCONSTYR) and median age (MEDIANAGE) have strong negative relationships to NDVI while median household income (MEDHHINC) and amount of potential lawn area (SQMLAWN) have positive relationships to NDVI. Other variables are more ambiguous in their relationship to NDVI.

Generalized additive model NDVI prediction vs actual values
(analysis/regression-tract/prediction-gam.png)

Generalized additive model smoothing functions
(analysis/regression-tract/panel-gam-smooth.png)

Family: gaussian
Link function: identity

Formula:
NDVI ~ s(SQMLAND) + s(DATE) + s(MEDIANAGE) + s(MEDHHINC) + s(MEANHHSIZE) +
    s(PCOWNEROCC) + s(PCTURNOVER) + s(PCBORNUSA) + s(PCUNEMPLOYED) +
    s(SQMLAWN) + s(MEDCONSTYR) + s(FORECLOSED) + s(RAINFALL60) +
    s(GEOINDEX)

Parametric coefficients:
             Estimate Std. Error t value Pr(>|t|)
(Intercept) 1.995e-01  8.203e-05    2432   <2e-16 ***
---
Signif. codes:  0 '***' 0.001 '**' 0.01 '*' 0.05 '.' 0.1 ' ' 1

Approximate significance of smooth terms:
                  edf Ref.df       F p-value
s(MEDCONSTYR)   8.983  9.000 3043.24  <2e-16 ***
s(SQMLAWN)      8.983  9.000 1413.16  <2e-16 ***
s(MEDHHINC)     8.999  9.000 1397.03  <2e-16 ***
s(MEDIANAGE)    8.998  9.000 1157.59  <2e-16 ***
s(GEOINDEX)     8.992  9.000 1098.53  <2e-16 ***
s(DATE)         8.992  9.000  942.75  <2e-16 ***
s(MEANHHSIZE)   8.986  9.000  835.43  <2e-16 ***
s(FORECLOSED)   8.005  8.474  695.20  <2e-16 ***
s(RAINFALL60)   8.993  9.000  570.55  <2e-16 ***
s(SQMLAND)      8.976  9.000  365.73  <2e-16 ***
s(PCOWNEROCC)   8.986  9.000  323.47  <2e-16 ***
s(PCTURNOVER)   8.984  9.000  209.19  <2e-16 ***
s(PCBORNUSA)    8.964  9.000  186.42  <2e-16 ***
s(PCUNEMPLOYED) 8.931  8.997   34.45  <2e-16 ***
---
Signif. codes:  0 '***' 0.001 '**' 0.01 '*' 0.05 '.' 0.1 ' ' 1

R-sq.(adj) =  0.412   Deviance explained = 41.2%
GCV = 0.0014562  Scale est. = 0.0014554  n = 216306

3.1.3 Random Forest Model

As shown below, the random forest model found median construction year (MEDCONSTYR) to be highly important, with amount of PLA (SQMLAWN), median household income (MEDHHINC), median household size (MEDHHSIZE) and median age (MEDIANAGE) to also be important, which is consistent with the linear and GAM results.

The random forest model also found minimal interaction between variables.

Random forest model NDVI prediction vs actual values
(analysis/regression-tract/prediction-rf.png)

> plot(randmodel)

               Importance   Relative Imp
MEDCONSTYR         0.0031         1.0000
SQMLAWN            0.0015         0.4960
MEDHHINC           0.0013         0.4176
MEANHHSIZE         0.0013         0.4149
MEDIANAGE          0.0010         0.3285
GEOINDEX           0.0010         0.3085
SQMLAND            0.0009         0.2967
PCOWNEROCC         0.0007         0.2268
PCBORNUSA          0.0006         0.1913
PCTURNOVER         0.0006         0.1874
PCUNEMPLOYED       0.0004         0.1169
SQMWATER           0.0004         0.1151
RAINFALL60         0.0002         0.0760
FORECLOSED         0.0002         0.0579

3.1.4 Conditional Inference Tree (Party)

The conditional inference tree was the most ambiguous of the four models, evidencing no unambiguously strong predictors.

Conditional Inference Tree model NDVI prediction vs actual values
(analysis/regression-tract/prediction-party.png)

> print(party)

Model formula:
NDVI ~ DATE + SQMLAND + MEDIANAGE + MEDHHINC + MEANHHSIZE + PCOWNEROCC + 
    PCTURNOVER + PCBORNUSA + PCUNEMPLOYED + SQMLAWN + MEDCONSTYR + 
    FORECLOSED + RAINFALL60 + GEOINDEX

Fitted party:
[1] root
|   [2] SQMLAND <= 269339.64455
|   |   [3] SQMLAND <= 227883.48089
|   |   |   [4] MEDCONSTYR <= 1969
|   |   |   |   [5] PCTURNOVER <= 45.2
|   |   |   |   |   [6] MEDHHINC <= 30447.33256
|   |   |   |   |   |   [7] GEOINDEX <= 651
|   |   |   |   |   |   |   [8] PCBORNUSA <= 60.6
|   |   |   |   |   |   |   |   [9] MEANHHSIZE <= 4.05: 0.205 (n = 519, err = 0.4)
|   |   |   |   |   |   |   |   [10] MEANHHSIZE > 4.05: 0.171 (n = 143, err = 0.1)
|   |   |   |   |   |   |   [11] PCBORNUSA > 60.6
|   |   |   |   |   |   |   |   [12] GEOINDEX <= 149: 0.274 (n = 42, err = 0.0)
|   |   |   |   |   |   |   |   [13] GEOINDEX > 149: 0.227 (n = 168, err = 0.1)
|   |   |   |   |   |   [14] GEOINDEX > 651
|   |   |   |   |   |   |   [15] RAINFALL60 <= 1.34
|   |   |   |   |   |   |   |   [16] PCOWNEROCC <= 26.7: 0.181 (n = 253, err = 0.2)
|   |   |   |   |   |   |   |   [17] PCOWNEROCC > 26.7: 0.157 (n = 282, err = 0.1)
|   |   |   |   |   |   |   [18] RAINFALL60 > 1.34
|   |   |   |   |   |   |   |   [19] RAINFALL60 <= 3.55: 0.183 (n = 193, err = 0.1)
|   |   |   |   |   |   |   |   [20] RAINFALL60 > 3.55: 0.202 (n = 69, err = 0.1)
|   |   |   |   |   [21] MEDHHINC > 30447.33256
|   |   |   |   |   |   [22] PCBORNUSA <= 91
|   |   |   |   |   |   |   [23] MEDIANAGE <= 26.4
|   |   |   |   |   |   |   |   [24] PCOWNEROCC <= 46.7: 0.218 (n = 1869, err = 2.0)
|   |   |   |   |   |   |   |   [25] PCOWNEROCC > 46.7: 0.195 (n = 777, err = 0.4)
|   |   |   |   |   |   |   [26] MEDIANAGE > 26.4
|   |   |   |   |   |   |   |   [27] MEDHHINC <= 44754.25779: 0.254 (n = 4752, err = 13.1)
|   |   |   |   |   |   |   |   [28] MEDHHINC > 44754.25779: 0.220 (n = 910, err = 1.5)
|   |   |   |   |   |   [29] PCBORNUSA > 91
|   |   |   |   |   |   |   [30] MEDHHINC <= 47714.75143: 0.282 (n = 144, err = 0.1)
|   |   |   |   |   |   |   [31] MEDHHINC > 47714.75143
|   |   |   |   |   |   |   |   [32] GEOINDEX <= 263: 0.297 (n = 53, err = 0.1)
|   |   |   |   |   |   |   |   [33] GEOINDEX > 263: 0.315 (n = 128, err = 0.1)
|   |   |   |   [34] PCTURNOVER > 45.2
|   |   |   |   |   [35] MEANHHSIZE <= 2.48
|   |   |   |   |   |   [36] PCTURNOVER <= 85.5
|   |   |   |   |   |   |   [37] SQMLAWN <= 437819.4623
|   |   |   |   |   |   |   |   [38] PCTURNOVER <= 56.2: 0.186 (n = 528, err = 0.3)
|   |   |   |   |   |   |   |   [39] PCTURNOVER > 56.2: 0.234 (n = 2227, err = 5.9)
|   |   |   |   |   |   |   [40] SQMLAWN > 437819.4623
|   |   |   |   |   |   |   |   [41] MEDIANAGE <= 44.6: 0.297 (n = 1783, err = 3.1)
|   |   |   |   |   |   |   |   [42] MEDIANAGE > 44.6: 0.221 (n = 244, err = 0.1)
|   |   |   |   |   |   [43] PCTURNOVER > 85.5
|   |   |   |   |   |   |   [44] PCBORNUSA <= 89.2
|   |   |   |   |   |   |   |   [45] MEANHHSIZE <= 2.06: 0.323 (n = 87, err = 0.2)
|   |   |   |   |   |   |   |   [46] MEANHHSIZE > 2.06: 0.231 (n = 204, err = 0.3)
|   |   |   |   |   |   |   [47] PCBORNUSA > 89.2
|   |   |   |   |   |   |   |   [48] GEOINDEX <= 537: 0.332 (n = 397, err = 0.7)
|   |   |   |   |   |   |   |   [49] GEOINDEX > 537: 0.258 (n = 64, err = 0.1)
|   |   |   |   |   [50] MEANHHSIZE > 2.48
|   |   |   |   |   |   [51] PCUNEMPLOYED <= 1
|   |   |   |   |   |   |   [52] SQMLAND <= 121309.19091
|   |   |   |   |   |   |   |   [53] MEDHHINC <= 43381.97655: 0.193 (n = 760, err = 1.1)
|   |   |   |   |   |   |   |   [54] MEDHHINC > 43381.97655: 0.222 (n = 372, err = 0.6)
|   |   |   |   |   |   |   [55] SQMLAND > 121309.19091
|   |   |   |   |   |   |   |   [56] MEANHHSIZE <= 3.18: 0.269 (n = 236, err = 0.4)
|   |   |   |   |   |   |   |   [57] MEANHHSIZE > 3.18: 0.198 (n = 205, err = 0.3)
|   |   |   |   |   |   [58] PCUNEMPLOYED > 1
|   |   |   |   |   |   |   [59] SQMLAWN <= 232665.57643
|   |   |   |   |   |   |   |   [60] MEDHHINC <= 25094.87004: 0.150 (n = 953, err = 0.6)
|   |   |   |   |   |   |   |   [61] MEDHHINC > 25094.87004: 0.187 (n = 981, err = 1.1)
|   |   |   |   |   |   |   [62] SQMLAWN > 232665.57643
|   |   |   |   |   |   |   |   [63] MEDCONSTYR <= 1955: 0.214 (n = 5299, err = 10.6)
|   |   |   |   |   |   |   |   [64] MEDCONSTYR > 1955: 0.191 (n = 7877, err = 8.8)
|   |   |   [65] MEDCONSTYR > 1969
|   |   |   |   [66] FORECLOSED <= 29
|   |   |   |   |   [67] MEDCONSTYR <= 1993
|   |   |   |   |   |   [68] MEANHHSIZE <= 2.96
|   |   |   |   |   |   |   [69] RAINFALL60 <= 0.48
|   |   |   |   |   |   |   |   [70] MEDCONSTYR <= 1974: 0.206 (n = 2389, err = 3.8)
|   |   |   |   |   |   |   |   [71] MEDCONSTYR > 1974: 0.192 (n = 10227, err = 11.0)
|   |   |   |   |   |   |   [72] RAINFALL60 > 0.48
|   |   |   |   |   |   |   |   [73] PCTURNOVER <= 43.9: 0.212 (n = 5028, err = 7.8)
|   |   |   |   |   |   |   |   [74] PCTURNOVER > 43.9: 0.200 (n = 11983, err = 14.9)
|   |   |   |   |   |   [75] MEANHHSIZE > 2.96
|   |   |   |   |   |   |   [76] PCBORNUSA <= 77.9
|   |   |   |   |   |   |   |   [77] RAINFALL60 <= 2.35: 0.174 (n = 6233, err = 4.7)
|   |   |   |   |   |   |   |   [78] RAINFALL60 > 2.35: 0.189 (n = 1273, err = 1.5)
|   |   |   |   |   |   |   [79] PCBORNUSA > 77.9
|   |   |   |   |   |   |   |   [80] RAINFALL60 <= 1.84: 0.188 (n = 4023, err = 3.8)
|   |   |   |   |   |   |   |   [81] RAINFALL60 > 1.84: 0.203 (n = 1068, err = 1.3)
|   |   |   |   |   [82] MEDCONSTYR > 1993
|   |   |   |   |   |   [83] MEDHHINC <= 75723.69581
|   |   |   |   |   |   |   [84] PCBORNUSA <= 94.6
|   |   |   |   |   |   |   |   [85] PCUNEMPLOYED <= 1.9: 0.147 (n = 3101, err = 3.4)
|   |   |   |   |   |   |   |   [86] PCUNEMPLOYED > 1.9: 0.170 (n = 8701, err = 9.6)
|   |   |   |   |   |   |   [87] PCBORNUSA > 94.6
|   |   |   |   |   |   |   |   [88] MEANHHSIZE <= 1.2: 0.077 (n = 56, err = 0.0)
|   |   |   |   |   |   |   |   [89] MEANHHSIZE > 1.2: 0.144 (n = 1285, err = 0.7)
|   |   |   |   |   |   [90] MEDHHINC > 75723.69581
|   |   |   |   |   |   |   [91] PCOWNEROCC <= 633
|   |   |   |   |   |   |   |   [92] MEDHHINC <= 124261.10286: 0.180 (n = 2859, err = 2.3)
|   |   |   |   |   |   |   |   [93] MEDHHINC > 124261.10286: 0.249 (n = 82, err = 0.0)
|   |   |   |   |   |   |   [94] PCOWNEROCC > 633
|   |   |   |   |   |   |   |   [95] PCOWNEROCC <= 955: 0.211 (n = 522, err = 0.5)
|   |   |   |   |   |   |   |   [96] PCOWNEROCC > 955: 0.182 (n = 267, err = 0.1)
|   |   |   |   [97] FORECLOSED > 29
|   |   |   |   |   [98] MEANHHSIZE <= 2.81
|   |   |   |   |   |   [99] MEDIANAGE <= 38.1
|   |   |   |   |   |   |   [100] PCTURNOVER <= 61.8
|   |   |   |   |   |   |   |   [101] MEDHHINC <= 46993.05573: 0.186 (n = 107, err = 0.0)
|   |   |   |   |   |   |   |   [102] MEDHHINC > 46993.05573: 0.168 (n = 65, err = 0.0)
|   |   |   |   |   |   |   [103] PCTURNOVER > 61.8
|   |   |   |   |   |   |   |   [104] DATE <= 14994: 0.207 (n = 461, err = 0.4)
|   |   |   |   |   |   |   |   [105] DATE > 14994: 0.182 (n = 96, err = 0.1)
|   |   |   |   |   |   [106] MEDIANAGE > 38.1
|   |   |   |   |   |   |   [107] MEDCONSTYR <= 2001
|   |   |   |   |   |   |   |   [108] FORECLOSED <= 36: 0.179 (n = 178, err = 0.1)
|   |   |   |   |   |   |   |   [109] FORECLOSED > 36: 0.167 (n = 82, err = 0.0)
|   |   |   |   |   |   |   [110] MEDCONSTYR > 2001: 0.138 (n = 33, err = 0.0)
|   |   |   |   |   [111] MEANHHSIZE > 2.81
|   |   |   |   |   |   [112] SQMLAWN <= 935428.0438
|   |   |   |   |   |   |   [113] PCOWNEROCC <= 786
|   |   |   |   |   |   |   |   [114] MEDCONSTYR <= 1992: 0.176 (n = 1684, err = 0.7)
|   |   |   |   |   |   |   |   [115] MEDCONSTYR > 1992: 0.155 (n = 1355, err = 0.6)
|   |   |   |   |   |   |   [116] PCOWNEROCC > 786
|   |   |   |   |   |   |   |   [117] RAINFALL60 <= 0.67: 0.172 (n = 276, err = 0.1)
|   |   |   |   |   |   |   |   [118] RAINFALL60 > 0.67: 0.193 (n = 368, err = 0.2)
|   |   |   |   |   |   [119] SQMLAWN > 935428.0438: 0.204 (n = 165, err = 0.1)
|   |   [120] SQMLAND > 227883.48089
|   |   |   [121] PCTURNOVER <= 21
|   |   |   |   [122] MEDIANAGE <= 28.9
|   |   |   |   |   [123] PCBORNUSA <= 93.8
|   |   |   |   |   |   [124] SQMLAWN <= 664295.65507
|   |   |   |   |   |   |   [125] DATE <= 12746: 0.233 (n = 213, err = 0.3)
|   |   |   |   |   |   |   [126] DATE > 12746
|   |   |   |   |   |   |   |   [127] PCTURNOVER <= 4: 0.194 (n = 38, err = 0.0)
|   |   |   |   |   |   |   |   [128] PCTURNOVER > 4: 0.218 (n = 103, err = 0.1)
|   |   |   |   |   |   [129] SQMLAWN > 664295.65507
|   |   |   |   |   |   |   [130] MEDCONSTYR <= 1999
|   |   |   |   |   |   |   |   [131] SQMLAWN <= 997626.27714: 0.192 (n = 123, err = 0.0)
|   |   |   |   |   |   |   |   [132] SQMLAWN > 997626.27714: 0.211 (n = 399, err = 0.2)
|   |   |   |   |   |   |   [133] MEDCONSTYR > 1999
|   |   |   |   |   |   |   |   [134] FORECLOSED <= 6: 0.164 (n = 21, err = 0.0)
|   |   |   |   |   |   |   |   [135] FORECLOSED > 6: 0.189 (n = 44, err = 0.0)
|   |   |   |   |   [136] PCBORNUSA > 93.8
|   |   |   |   |   |   [137] PCBORNUSA <= 93.9
|   |   |   |   |   |   |   [138] DATE <= 12498: 0.155 (n = 67, err = 0.0)
|   |   |   |   |   |   |   [139] DATE > 12498
|   |   |   |   |   |   |   |   [140] FORECLOSED <= 18: 0.174 (n = 131, err = 0.0)
|   |   |   |   |   |   |   |   [141] FORECLOSED > 18: 0.193 (n = 32, err = 0.0)
|   |   |   |   |   |   [142] PCBORNUSA > 93.9
|   |   |   |   |   |   |   [143] FORECLOSED <= 23: 0.127 (n = 43, err = 0.0)
|   |   |   |   |   |   |   [144] FORECLOSED > 23: 0.144 (n = 48, err = 0.0)
|   |   |   |   [145] MEDIANAGE > 28.9
|   |   |   |   |   [146] PCBORNUSA <= 89.9
|   |   |   |   |   |   [147] PCUNEMPLOYED <= 2.8
|   |   |   |   |   |   |   [148] PCUNEMPLOYED <= 1.2
|   |   |   |   |   |   |   |   [149] DATE <= 12498: 0.139 (n = 57, err = 0.0)
|   |   |   |   |   |   |   |   [150] DATE > 12498: 0.161 (n = 158, err = 0.1)
|   |   |   |   |   |   |   [151] PCUNEMPLOYED > 1.2
|   |   |   |   |   |   |   |   [152] MEDHHINC <= 55764.68036: 0.153 (n = 225, err = 0.0)
|   |   |   |   |   |   |   |   [153] MEDHHINC > 55764.68036: 0.137 (n = 878, err = 0.6)
|   |   |   |   |   |   [154] PCUNEMPLOYED > 2.8
|   |   |   |   |   |   |   [155] RAINFALL60 <= 1.34
|   |   |   |   |   |   |   |   [156] FORECLOSED <= 3: 0.198 (n = 106, err = 0.0)
|   |   |   |   |   |   |   |   [157] FORECLOSED > 3: 0.209 (n = 31, err = 0.0)
|   |   |   |   |   |   |   [158] RAINFALL60 > 1.34: 0.211 (n = 62, err = 0.0)
|   |   |   |   |   [159] PCBORNUSA > 89.9
|   |   |   |   |   |   [160] SQMLAWN <= 716930.77875
|   |   |   |   |   |   |   [161] PCTURNOVER <= 17.2
|   |   |   |   |   |   |   |   [162] FORECLOSED <= 1: 0.121 (n = 39, err = 0.0)
|   |   |   |   |   |   |   |   [163] FORECLOSED > 1: 0.132 (n = 22, err = 0.0)
|   |   |   |   |   |   |   [164] PCTURNOVER > 17.2
|   |   |   |   |   |   |   |   [165] RAINFALL60 <= 3.63: 0.153 (n = 209, err = 0.0)
|   |   |   |   |   |   |   |   [166] RAINFALL60 > 3.63: 0.172 (n = 12, err = 0.0)
|   |   |   |   |   |   [167] SQMLAWN > 716930.77875
|   |   |   |   |   |   |   [168] MEDCONSTYR <= 1999
|   |   |   |   |   |   |   |   [169] GEOINDEX <= 158: 0.238 (n = 197, err = 0.1)
|   |   |   |   |   |   |   |   [170] GEOINDEX > 158: 0.194 (n = 706, err = 0.8)
|   |   |   |   |   |   |   [171] MEDCONSTYR > 1999
|   |   |   |   |   |   |   |   [172] SQMLAWN <= 1048909.80153: 0.127 (n = 167, err = 0.1)
|   |   |   |   |   |   |   |   [173] SQMLAWN > 1048909.80153: 0.162 (n = 90, err = 0.0)
|   |   |   [174] PCTURNOVER > 21
|   |   |   |   [175] MEANHHSIZE <= 3.48
|   |   |   |   |   [176] MEANHHSIZE <= 1.78
|   |   |   |   |   |   [177] MEDHHINC <= 60109.07165
|   |   |   |   |   |   |   [178] SQMLAND <= 240233.09395
|   |   |   |   |   |   |   |   [179] PCBORNUSA <= 88.7: 0.148 (n = 310, err = 0.2)
|   |   |   |   |   |   |   |   [180] PCBORNUSA > 88.7: 0.137 (n = 418, err = 0.2)
|   |   |   |   |   |   |   [181] SQMLAND > 240233.09395
|   |   |   |   |   |   |   |   [182] MEDIANAGE <= 60.7: 0.221 (n = 296, err = 0.4)
|   |   |   |   |   |   |   |   [183] MEDIANAGE > 60.7: 0.164 (n = 1457, err = 0.5)
|   |   |   |   |   |   [184] MEDHHINC > 60109.07165
|   |   |   |   |   |   |   [185] MEDHHINC <= 72362.51403
|   |   |   |   |   |   |   |   [186] MEDIANAGE <= 60.2: 0.242 (n = 487, err = 0.5)
|   |   |   |   |   |   |   |   [187] MEDIANAGE > 60.2: 0.162 (n = 99, err = 0.1)
|   |   |   |   |   |   |   [188] MEDHHINC > 72362.51403: 0.297 (n = 86, err = 0.1)
|   |   |   |   |   [189] MEANHHSIZE > 1.78
|   |   |   |   |   |   [190] MEDIANAGE <= 37.5
|   |   |   |   |   |   |   [191] SQMLAND <= 252155.0739
|   |   |   |   |   |   |   |   [192] MEDIANAGE <= 32.9: 0.213 (n = 36066, err = 71.8)
|   |   |   |   |   |   |   |   [193] MEDIANAGE > 32.9: 0.205 (n = 19500, err = 35.7)
|   |   |   |   |   |   |   [194] SQMLAND > 252155.0739
|   |   |   |   |   |   |   |   [195] MEDHHINC <= 14646.41031: 0.150 (n = 303, err = 0.1)
|   |   |   |   |   |   |   |   [196] MEDHHINC > 14646.41031: 0.192 (n = 3627, err = 3.3)
|   |   |   |   |   |   [197] MEDIANAGE > 37.5
|   |   |   |   |   |   |   [198] MEDCONSTYR <= 1965
|   |   |   |   |   |   |   |   [199] PCBORNUSA <= 91.3: 0.266 (n = 2385, err = 9.4)
|   |   |   |   |   |   |   |   [200] PCBORNUSA > 91.3: 0.342 (n = 1540, err = 2.9)
|   |   |   |   |   |   |   [201] MEDCONSTYR > 1965
|   |   |   |   |   |   |   |   [202] MEDHHINC <= 66685.14033: 0.197 (n = 7935, err = 16.4)
|   |   |   |   |   |   |   |   [203] MEDHHINC > 66685.14033: 0.227 (n = 9542, err = 20.9)
|   |   |   |   [204] MEANHHSIZE > 3.48
|   |   |   |   |   [205] MEANHHSIZE <= 4.03
|   |   |   |   |   |   [206] MEDHHINC <= 78362.10213
|   |   |   |   |   |   |   [207] MEANHHSIZE <= 3.94
|   |   |   |   |   |   |   |   [208] SQMLAWN <= 661231.71413: 0.161 (n = 1544, err = 1.1)
|   |   |   |   |   |   |   |   [209] SQMLAWN > 661231.71413: 0.189 (n = 2314, err = 2.8)
|   |   |   |   |   |   |   [210] MEANHHSIZE > 3.94
|   |   |   |   |   |   |   |   [211] GEOINDEX <= 780: 0.185 (n = 731, err = 0.6)
|   |   |   |   |   |   |   |   [212] GEOINDEX > 780: 0.238 (n = 337, err = 0.5)
|   |   |   |   |   |   [213] MEDHHINC > 78362.10213
|   |   |   |   |   |   |   [214] PCUNEMPLOYED <= 4.1
|   |   |   |   |   |   |   |   [215] SQMLAND <= 254243.72207: 0.257 (n = 473, err = 0.8)
|   |   |   |   |   |   |   |   [216] SQMLAND > 254243.72207: 0.199 (n = 151, err = 0.1)
|   |   |   |   |   |   |   [217] PCUNEMPLOYED > 4.1
|   |   |   |   |   |   |   |   [218] MEDCONSTYR <= 1998: 0.255 (n = 66, err = 0.1)
|   |   |   |   |   |   |   |   [219] MEDCONSTYR > 1998: 0.202 (n = 429, err = 0.3)
|   |   |   |   |   [220] MEANHHSIZE > 4.03
|   |   |   |   |   |   [221] DATE <= 14930
|   |   |   |   |   |   |   [222] RAINFALL60 <= 3.03
|   |   |   |   |   |   |   |   [223] SQMLAWN <= 685072.99295: 0.173 (n = 1431, err = 1.2)
|   |   |   |   |   |   |   |   [224] SQMLAWN > 685072.99295: 0.188 (n = 940, err = 0.7)
|   |   |   |   |   |   |   [225] RAINFALL60 > 3.03
|   |   |   |   |   |   |   |   [226] RAINFALL60 <= 3.8: 0.203 (n = 216, err = 0.2)
|   |   |   |   |   |   |   |   [227] RAINFALL60 > 3.8: 0.234 (n = 49, err = 0.1)
|   |   |   |   |   |   [228] DATE > 14930
|   |   |   |   |   |   |   [229] MEDIANAGE <= 21.6
|   |   |   |   |   |   |   |   [230] DATE <= 16314: 0.135 (n = 170, err = 0.1)
|   |   |   |   |   |   |   |   [231] DATE > 16314: 0.173 (n = 16, err = 0.0)
|   |   |   |   |   |   |   [232] MEDIANAGE > 21.6
|   |   |   |   |   |   |   |   [233] SQMLAND <= 230394.46669: 0.171 (n = 58, err = 0.0)
|   |   |   |   |   |   |   |   [234] SQMLAND > 230394.46669: 0.160 (n = 335, err = 0.2)
|   [235] SQMLAND > 269339.64455
|   |   [236] DATE <= 14090
|   |   |   [237] SQMLAWN <= 2087419.29801
|   |   |   |   [238] SQMLAWN <= 899092.28696
|   |   |   |   |   [239] SQMLAWN <= 781757.23796
|   |   |   |   |   |   [240] PCTURNOVER <= 35.2
|   |   |   |   |   |   |   [241] PCOWNEROCC <= 70
|   |   |   |   |   |   |   |   [242] RAINFALL60 <= 3.12: 0.179 (n = 1592, err = 3.2)
|   |   |   |   |   |   |   |   [243] RAINFALL60 > 3.12: 0.214 (n = 134, err = 0.4)
|   |   |   |   |   |   |   [244] PCOWNEROCC > 70
|   |   |   |   |   |   |   |   [245] MEANHHSIZE <= 3.19: 0.151 (n = 2722, err = 4.0)
|   |   |   |   |   |   |   |   [246] MEANHHSIZE > 3.19: 0.175 (n = 541, err = 1.9)
|   |   |   |   |   |   [247] PCTURNOVER > 35.2
|   |   |   |   |   |   |   [248] SQMLAWN <= 748034.00637
|   |   |   |   |   |   |   |   [249] MEDCONSTYR <= 1986: 0.200 (n = 2413, err = 4.4)
|   |   |   |   |   |   |   |   [250] MEDCONSTYR > 1986: 0.170 (n = 1333, err = 2.6)
|   |   |   |   |   |   |   [251] SQMLAWN > 748034.00637
|   |   |   |   |   |   |   |   [252] MEANHHSIZE <= 1.7: 0.307 (n = 113, err = 0.1)
|   |   |   |   |   |   |   |   [253] MEANHHSIZE > 1.7: 0.177 (n = 47, err = 0.1)
|   |   |   |   |   [254] SQMLAWN > 781757.23796
|   |   |   |   |   |   [255] PCBORNUSA <= 92.2
|   |   |   |   |   |   |   [256] MEDCONSTYR <= 2004
|   |   |   |   |   |   |   |   [257] PCOWNEROCC <= 34.2: 0.235 (n = 33, err = 0.3)
|   |   |   |   |   |   |   |   [258] PCOWNEROCC > 34.2: 0.167 (n = 1830, err = 1.5)
|   |   |   |   |   |   |   [259] MEDCONSTYR > 2004
|   |   |   |   |   |   |   |   [260] DATE <= 13818: 0.100 (n = 47, err = 0.0)
|   |   |   |   |   |   |   |   [261] DATE > 13818: 0.129 (n = 28, err = 0.0)
|   |   |   |   |   |   [262] PCBORNUSA > 92.2
|   |   |   |   |   |   |   [263] MEANHHSIZE <= 2.79
|   |   |   |   |   |   |   |   [264] MEANHHSIZE <= 1.84: 0.151 (n = 10, err = 0.0)
|   |   |   |   |   |   |   |   [265] MEANHHSIZE > 1.84: 0.136 (n = 319, err = 0.1)
|   |   |   |   |   |   |   [266] MEANHHSIZE > 2.79: 0.125 (n = 92, err = 0.0)
|   |   |   |   [267] SQMLAWN > 899092.28696
|   |   |   |   |   [268] MEANHHSIZE <= 3.2
|   |   |   |   |   |   [269] MEDHHINC <= 79904.76387
|   |   |   |   |   |   |   [270] PCBORNUSA <= 87.5
|   |   |   |   |   |   |   |   [271] MEDIANAGE <= 34.9: 0.191 (n = 1982, err = 7.3)
|   |   |   |   |   |   |   |   [272] MEDIANAGE > 34.9: 0.309 (n = 163, err = 0.1)
|   |   |   |   |   |   |   [273] PCBORNUSA > 87.5
|   |   |   |   |   |   |   |   [274] DATE <= 13162: 0.174 (n = 2644, err = 3.7)
|   |   |   |   |   |   |   |   [275] DATE > 13162: 0.156 (n = 3388, err = 3.5)
|   |   |   |   |   |   [276] MEDHHINC > 79904.76387
|   |   |   |   |   |   |   [277] PCTURNOVER <= 35
|   |   |   |   |   |   |   |   [278] MEDCONSTYR <= 1998: 0.199 (n = 1243, err = 1.3)
|   |   |   |   |   |   |   |   [279] MEDCONSTYR > 1998: 0.155 (n = 732, err = 0.7)
|   |   |   |   |   |   |   [280] PCTURNOVER > 35
|   |   |   |   |   |   |   |   [281] MEANHHSIZE <= 2.31: 0.249 (n = 554, err = 2.2)
|   |   |   |   |   |   |   |   [282] MEANHHSIZE > 2.31: 0.199 (n = 1004, err = 1.1)
|   |   |   |   |   [283] MEANHHSIZE > 3.2
|   |   |   |   |   |   [284] FORECLOSED <= 14
|   |   |   |   |   |   |   [285] GEOINDEX <= 414
|   |   |   |   |   |   |   |   [286] MEDCONSTYR <= 1996: 0.274 (n = 419, err = 1.5)
|   |   |   |   |   |   |   |   [287] MEDCONSTYR > 1996: 0.210 (n = 525, err = 1.3)
|   |   |   |   |   |   |   [288] GEOINDEX > 414
|   |   |   |   |   |   |   |   [289] MEDHHINC <= 70369.07143: 0.180 (n = 587, err = 0.5)
|   |   |   |   |   |   |   |   [290] MEDHHINC > 70369.07143: 0.216 (n = 417, err = 0.4)
|   |   |   |   |   |   [291] FORECLOSED > 14
|   |   |   |   |   |   |   [292] SQMLAWN <= 1237803.75789
|   |   |   |   |   |   |   |   [293] PCTURNOVER <= 59.1: 0.184 (n = 98, err = 0.1)
|   |   |   |   |   |   |   |   [294] PCTURNOVER > 59.1: 0.147 (n = 46, err = 0.0)
|   |   |   |   |   |   |   [295] SQMLAWN > 1237803.75789
|   |   |   |   |   |   |   |   [296] MEANHHSIZE <= 3.29: 0.207 (n = 36, err = 0.0)
|   |   |   |   |   |   |   |   [297] MEANHHSIZE > 3.29: 0.266 (n = 9, err = 0.0)
|   |   |   [298] SQMLAWN > 2087419.29801
|   |   |   |   [299] PCTURNOVER <= 52.6
|   |   |   |   |   [300] RAINFALL60 <= 3.12
|   |   |   |   |   |   [301] GEOINDEX <= 551
|   |   |   |   |   |   |   [302] MEDIANAGE <= 33.5
|   |   |   |   |   |   |   |   [303] PCBORNUSA <= 93.3: 0.224 (n = 623, err = 1.2)
|   |   |   |   |   |   |   |   [304] PCBORNUSA > 93.3: 0.296 (n = 402, err = 1.0)
|   |   |   |   |   |   |   [305] MEDIANAGE > 33.5
|   |   |   |   |   |   |   |   [306] SQMLAWN <= 6039089.74485: 0.175 (n = 1569, err = 1.7)
|   |   |   |   |   |   |   |   [307] SQMLAWN > 6039089.74485: 0.199 (n = 523, err = 0.7)
|   |   |   |   |   |   [308] GEOINDEX > 551
|   |   |   |   |   |   |   [309] MEDCONSTYR <= 2001
|   |   |   |   |   |   |   |   [310] RAINFALL60 <= 1.26: 0.177 (n = 2851, err = 3.2)
|   |   |   |   |   |   |   |   [311] RAINFALL60 > 1.26: 0.202 (n = 717, err = 1.2)
|   |   |   |   |   |   |   [312] MEDCONSTYR > 2001
|   |   |   |   |   |   |   |   [313] SQMLAWN <= 2715552.59968: 0.135 (n = 253, err = 0.2)
|   |   |   |   |   |   |   |   [314] SQMLAWN > 2715552.59968: 0.175 (n = 345, err = 0.5)
|   |   |   |   |   [315] RAINFALL60 > 3.12
|   |   |   |   |   |   [316] RAINFALL60 <= 3.8
|   |   |   |   |   |   |   [317] SQMLAWN <= 6335555.6204
|   |   |   |   |   |   |   |   [318] MEDHHINC <= 93089.99896: 0.241 (n = 185, err = 0.8)
|   |   |   |   |   |   |   |   [319] MEDHHINC > 93089.99896: 0.211 (n = 128, err = 0.1)
|   |   |   |   |   |   |   [320] SQMLAWN > 6335555.6204
|   |   |   |   |   |   |   |   [321] PCUNEMPLOYED <= 2.4: 0.267 (n = 105, err = 0.5)
|   |   |   |   |   |   |   |   [322] PCUNEMPLOYED > 2.4: 0.356 (n = 7, err = 0.1)
|   |   |   |   |   |   [323] RAINFALL60 > 3.8
|   |   |   |   |   |   |   [324] DATE <= 11706: 0.192 (n = 26, err = 0.1)
|   |   |   |   |   |   |   [325] DATE > 11706
|   |   |   |   |   |   |   |   [326] MEDHHINC <= 55783.87465: 0.388 (n = 34, err = 0.1)
|   |   |   |   |   |   |   |   [327] MEDHHINC > 55783.87465: 0.288 (n = 90, err = 0.3)
|   |   |   |   [328] PCTURNOVER > 52.6
|   |   |   |   |   [329] MEDIANAGE <= 50.7
|   |   |   |   |   |   [330] MEDHHINC <= 120089.94422
|   |   |   |   |   |   |   [331] PCBORNUSA <= 89.2
|   |   |   |   |   |   |   |   [332] MEDCONSTYR <= 1984: 0.231 (n = 125, err = 0.1)
|   |   |   |   |   |   |   |   [333] MEDCONSTYR > 1984: 0.205 (n = 170, err = 0.3)
|   |   |   |   |   |   |   [334] PCBORNUSA > 89.2
|   |   |   |   |   |   |   |   [335] PCTURNOVER <= 55.3: 0.266 (n = 381, err = 0.3)
|   |   |   |   |   |   |   |   [336] PCTURNOVER > 55.3: 0.243 (n = 470, err = 0.5)
|   |   |   |   |   |   [337] MEDHHINC > 120089.94422
|   |   |   |   |   |   |   [338] SQMLAND <= 351299.71479: 0.381 (n = 14, err = 0.0)
|   |   |   |   |   |   |   [339] SQMLAND > 351299.71479
|   |   |   |   |   |   |   |   [340] MEDHHINC <= 189772.20939: 0.286 (n = 431, err = 0.3)
|   |   |   |   |   |   |   |   [341] MEDHHINC > 189772.20939: 0.259 (n = 165, err = 0.1)
|   |   |   |   |   [342] MEDIANAGE > 50.7
|   |   |   |   |   |   [343] SQMLAWN <= 2316452.46004
|   |   |   |   |   |   |   [344] SQMLAWN <= 2315708.0283: 0.171 (n = 9, err = 0.0)
|   |   |   |   |   |   |   [345] SQMLAWN > 2315708.0283: 0.153 (n = 99, err = 0.0)
|   |   |   |   |   |   [346] SQMLAWN > 2316452.46004
|   |   |   |   |   |   |   [347] FORECLOSED <= 1: 0.146 (n = 39, err = 0.0)
|   |   |   |   |   |   |   [348] FORECLOSED > 1: 0.136 (n = 19, err = 0.0)
|   |   [349] DATE > 14090
|   |   |   [350] MEANHHSIZE <= 1.88
|   |   |   |   [351] PCTURNOVER <= 84.7
|   |   |   |   |   [352] MEDHHINC <= 75812.06149
|   |   |   |   |   |   [353] PCBORNUSA <= 92.6
|   |   |   |   |   |   |   [354] MEDHHINC <= 68845.34233
|   |   |   |   |   |   |   |   [355] PCUNEMPLOYED <= 5.5: 0.186 (n = 420, err = 0.3)
|   |   |   |   |   |   |   |   [356] PCUNEMPLOYED > 5.5: 0.210 (n = 129, err = 0.1)
|   |   |   |   |   |   |   [357] MEDHHINC > 68845.34233
|   |   |   |   |   |   |   |   [358] GEOINDEX <= 243: 0.225 (n = 39, err = 0.0)
|   |   |   |   |   |   |   |   [359] GEOINDEX > 243: 0.223 (n = 94, err = 0.1)
|   |   |   |   |   |   [360] PCBORNUSA > 92.6
|   |   |   |   |   |   |   [361] SQMLAWN <= 1315349.38103
|   |   |   |   |   |   |   |   [362] DATE <= 14858: 0.177 (n = 156, err = 0.1)
|   |   |   |   |   |   |   |   [363] DATE > 14858: 0.192 (n = 118, err = 0.1)
|   |   |   |   |   |   |   [364] SQMLAWN > 1315349.38103
|   |   |   |   |   |   |   |   [365] SQMLAND <= 480232.25782: 0.168 (n = 255, err = 0.1)
|   |   |   |   |   |   |   |   [366] SQMLAND > 480232.25782: 0.154 (n = 258, err = 0.1)
|   |   |   |   |   [367] MEDHHINC > 75812.06149
|   |   |   |   |   |   [368] SQMLAWN <= 780206.12947: 0.274 (n = 19, err = 0.2)
|   |   |   |   |   |   [369] SQMLAWN > 780206.12947: 0.300 (n = 170, err = 0.1)
|   |   |   |   [370] PCTURNOVER > 84.7
|   |   |   |   |   [371] PCUNEMPLOYED <= 3.9
|   |   |   |   |   |   [372] FORECLOSED <= 15
|   |   |   |   |   |   |   [373] DATE <= 14994
|   |   |   |   |   |   |   |   [374] MEDCONSTYR <= 1993: 0.171 (n = 552, err = 0.2)
|   |   |   |   |   |   |   |   [375] MEDCONSTYR > 1993: 0.162 (n = 297, err = 0.1)
|   |   |   |   |   |   |   [376] DATE > 14994
|   |   |   |   |   |   |   |   [377] PCUNEMPLOYED <= 1.7: 0.148 (n = 688, err = 0.2)
|   |   |   |   |   |   |   |   [378] PCUNEMPLOYED > 1.7: 0.157 (n = 923, err = 0.5)
|   |   |   |   |   |   [379] FORECLOSED > 15
|   |   |   |   |   |   |   [380] MEDHHINC <= 48629.15449
|   |   |   |   |   |   |   |   [381] MEDCONSTYR <= 1962: 0.206 (n = 38, err = 0.0)
|   |   |   |   |   |   |   |   [382] MEDCONSTYR > 1962: 0.161 (n = 136, err = 0.0)
|   |   |   |   |   |   |   [383] MEDHHINC > 48629.15449: 0.216 (n = 50, err = 0.0)
|   |   |   |   |   [384] PCUNEMPLOYED > 3.9
|   |   |   |   |   |   [385] PCBORNUSA <= 92.8
|   |   |   |   |   |   |   [386] MEDCONSTYR <= 1972: 0.183 (n = 20, err = 0.0)
|   |   |   |   |   |   |   [387] MEDCONSTYR > 1972: 0.204 (n = 117, err = 0.1)
|   |   |   |   |   |   [388] PCBORNUSA > 92.8
|   |   |   |   |   |   |   [389] DATE <= 14602
|   |   |   |   |   |   |   |   [390] MEANHHSIZE <= 1.56: 0.190 (n = 19, err = 0.0)
|   |   |   |   |   |   |   |   [391] MEANHHSIZE > 1.56: 0.162 (n = 212, err = 0.1)
|   |   |   |   |   |   |   [392] DATE > 14602: 0.198 (n = 39, err = 0.0)
|   |   |   [393] MEANHHSIZE > 1.88
|   |   |   |   [394] MEDHHINC <= 77947.25845
|   |   |   |   |   [395] FORECLOSED <= 34
|   |   |   |   |   |   [396] RAINFALL60 <= 2.23
|   |   |   |   |   |   |   [397] DATE <= 14978
|   |   |   |   |   |   |   |   [398] MEDIANAGE <= 49: 0.198 (n = 5223, err = 12.3)
|   |   |   |   |   |   |   |   [399] MEDIANAGE > 49: 0.168 (n = 626, err = 0.7)
|   |   |   |   |   |   |   [400] DATE > 14978
|   |   |   |   |   |   |   |   [401] FORECLOSED <= 6: 0.186 (n = 3812, err = 8.9)
|   |   |   |   |   |   |   |   [402] FORECLOSED > 6: 0.177 (n = 4213, err = 7.4)
|   |   |   |   |   |   [403] RAINFALL60 > 2.23
|   |   |   |   |   |   |   [404] DATE <= 14882
|   |   |   |   |   |   |   |   [405] PCTURNOVER <= 59.1: 0.191 (n = 791, err = 1.9)
|   |   |   |   |   |   |   |   [406] PCTURNOVER > 59.1: 0.218 (n = 886, err = 2.5)
|   |   |   |   |   |   |   [407] DATE > 14882
|   |   |   |   |   |   |   |   [408] DATE <= 16330: 0.180 (n = 1947, err = 3.8)
|   |   |   |   |   |   |   |   [409] DATE > 16330: 0.208 (n = 622, err = 1.2)
|   |   |   |   |   [410] FORECLOSED > 34
|   |   |   |   |   |   [411] GEOINDEX <= 526
|   |   |   |   |   |   |   [412] SQMLAND <= 3381973.63409
|   |   |   |   |   |   |   |   [413] PCBORNUSA <= 89.1: 0.179 (n = 2287, err = 2.7)
|   |   |   |   |   |   |   |   [414] PCBORNUSA > 89.1: 0.165 (n = 698, err = 0.4)
|   |   |   |   |   |   |   [415] SQMLAND > 3381973.63409
|   |   |   |   |   |   |   |   [416] GEOINDEX <= 220: 0.197 (n = 173, err = 0.3)
|   |   |   |   |   |   |   |   [417] GEOINDEX > 220: 0.264 (n = 72, err = 0.1)
|   |   |   |   |   |   [418] GEOINDEX > 526
|   |   |   |   |   |   |   [419] SQMLAWN <= 2857198.69153
|   |   |   |   |   |   |   |   [420] MEDCONSTYR <= 2003: 0.164 (n = 485, err = 0.3)
|   |   |   |   |   |   |   |   [421] MEDCONSTYR > 2003: 0.133 (n = 455, err = 0.3)
|   |   |   |   |   |   |   [422] SQMLAWN > 2857198.69153
|   |   |   |   |   |   |   |   [423] RAINFALL60 <= 1.07: 0.169 (n = 353, err = 0.3)
|   |   |   |   |   |   |   |   [424] RAINFALL60 > 1.07: 0.203 (n = 201, err = 0.5)
|   |   |   |   [425] MEDHHINC > 77947.25845
|   |   |   |   |   [426] PCUNEMPLOYED <= 2.4
|   |   |   |   |   |   [427] PCBORNUSA <= 95.5
|   |   |   |   |   |   |   [428] MEDIANAGE <= 38.9
|   |   |   |   |   |   |   |   [429] SQMLAWN <= 898253.00126: 0.159 (n = 1189, err = 1.1)
|   |   |   |   |   |   |   |   [430] SQMLAWN > 898253.00126: 0.210 (n = 2510, err = 5.5)
|   |   |   |   |   |   |   [431] MEDIANAGE > 38.9
|   |   |   |   |   |   |   |   [432] MEDCONSTYR <= 1986: 0.260 (n = 1288, err = 2.5)
|   |   |   |   |   |   |   |   [433] MEDCONSTYR > 1986: 0.217 (n = 2752, err = 3.4)
|   |   |   |   |   |   [434] PCBORNUSA > 95.5
|   |   |   |   |   |   |   [435] FORECLOSED <= 17
|   |   |   |   |   |   |   |   [436] MEDCONSTYR <= 1984: 0.377 (n = 151, err = 0.4)
|   |   |   |   |   |   |   |   [437] MEDCONSTYR > 1984: 0.230 (n = 364, err = 1.2)
|   |   |   |   |   |   |   [438] FORECLOSED > 17
|   |   |   |   |   |   |   |   [439] DATE <= 14322: 0.276 (n = 17, err = 0.0)
|   |   |   |   |   |   |   |   [440] DATE > 14322: 0.177 (n = 102, err = 0.2)
|   |   |   |   |   [441] PCUNEMPLOYED > 2.4
|   |   |   |   |   |   [442] SQMLAWN <= 1925796.41343
|   |   |   |   |   |   |   [443] SQMLAWN <= 907426.56864
|   |   |   |   |   |   |   |   [444] MEDIANAGE <= 28.7: 0.196 (n = 500, err = 0.5)
|   |   |   |   |   |   |   |   [445] MEDIANAGE > 28.7: 0.170 (n = 1723, err = 1.2)
|   |   |   |   |   |   |   [446] SQMLAWN > 907426.56864
|   |   |   |   |   |   |   |   [447] MEDCONSTYR <= 1998: 0.218 (n = 3160, err = 6.2)
|   |   |   |   |   |   |   |   [448] MEDCONSTYR > 1998: 0.186 (n = 3591, err = 4.0)
|   |   |   |   |   |   [449] SQMLAWN > 1925796.41343
|   |   |   |   |   |   |   [450] FORECLOSED <= 15
|   |   |   |   |   |   |   |   [451] MEDCONSTYR <= 1962: 0.396 (n = 68, err = 0.1)
|   |   |   |   |   |   |   |   [452] MEDCONSTYR > 1962: 0.236 (n = 3789, err = 10.2)
|   |   |   |   |   |   |   [453] FORECLOSED > 15
|   |   |   |   |   |   |   |   [454] GEOINDEX <= 742: 0.215 (n = 2415, err = 4.0)
|   |   |   |   |   |   |   |   [455] GEOINDEX > 742: 0.181 (n = 874, err = 0.9)

Number of inner nodes:    227
Number of terminal nodes: 228



> cor.test(prediction, party_data$NDVI)

        Pearson's product-moment correlation

data:  prediction and party_data$NDVI
t = 404.86, df = 280980, p-value < 2.2e-16
alternative hypothesis: true correlation is not equal to 0
95 percent confidence interval:
 0.6046468 0.6093172
sample estimates:
      cor 
0.6069872 

3.2 Tract Trend Analysis

In contrast to the atemporal panel analysis, trend analysis looked specifically at the NDVI trend in tracts over time.

The models have modestly good fits, albeit with a smaller number of variables that have high significance.

3.2.1 Linear Model

As shown in the graph below, the linear model fit was modestly strong (r2 = 0.305).

The three variables with high significance in the linear model are median household income (MEDHHINCOME), the overall NDVI level (INTERCEPT), and percent of residents born in the us (PCBORNUSA). Wealthier tracts tended to have increased vegetation over the analysis period, while tracts with high levels of vegetation tended to have decreased vegetation over the analysis period.

Linear model NDVI change prediction vs actual values
(analysis/tract-trend/linear-prediction.png)

lm(formula = SLOPE ~ ., data = lin_data)

Residuals:
    Min      1Q  Median      3Q     Max 
-6.0561 -0.3647 -0.0108  0.4180  2.7387 

Coefficients:
               Estimate Std. Error t value Pr(>|t|)    
(Intercept)  -0.2733830  0.0597368  -4.576 5.41e-06 ***
MEDHHINC      0.3109458  0.0500174   6.217 7.83e-10 ***
INTERCEPT    -0.3107912  0.0334308  -9.297  < 2e-16 ***
PCBORNUSA     0.1630100  0.0438277   3.719 0.000212 ***
GEOINDEX      0.0006132  0.0001170   5.239 2.02e-07 ***
SQMLAND       0.0299508  0.0322587   0.928 0.353426    
MEDIANAGE     0.1264691  0.0619903   2.040 0.041634 *  
MEANHHSIZE    0.0761501  0.0587062   1.297 0.194923    
PCOWNEROCC   -0.1499318  0.0660742  -2.269 0.023501 *  
PCTURNOVER   -0.0140573  0.0418814  -0.336 0.737218    
PCUNEMPLOYED -0.0513234  0.0361559  -1.420 0.156106    
MEDCONSTYR    0.0189103  0.0402697   0.470 0.638764    
SQMLAWN       0.1165299  0.0716808   1.626 0.104376    
FDAYSQM      -0.1214984  0.0668359  -1.818 0.069425 .  
---
Signif. codes:  0 '***' 0.001 '**' 0.01 '*' 0.05 '.' 0.1 ' ' 1

Residual standard error: 0.8396 on 881 degrees of freedom
  (4 observations deleted due to missingness)
Multiple R-squared:  0.3051,	Adjusted R-squared:  0.2949 
F-statistic: 29.76 on 13 and 881 DF,  p-value: < 2.2e-16

3.2.2 Generalized Additive Model

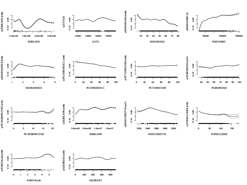
As shown in the graph below, the generalized additive model had a slightly better fit than the linear model (r2 = 0.391).

Two variables were found to have high significance: median household income (MEDHHINCOME) and median construction year of homes in the tract (MEDCONSTYR), although only median household income has a clearly positive relationship in the smoothing function.

Generalized additive model NDVI change prediction vs actual values
(analysis/tract-trend/gam-prediction.png)

Family: gaussian 
Link function: identity 

Formula:
SLOPE ~ s(SQMLAND) + s(MEDIANAGE) + s(MEDHHINC) + s(MEANHHSIZE) + 
    s(PCOWNEROCC) + s(PCTURNOVER) + s(PCBORNUSA) + s(PCUNEMPLOYED) + 
    s(SQMLAWN) + s(MEDCONSTYR) + s(FDAYSQM) + s(GEOINDEX)

Parametric coefficients:
              Estimate Std. Error t value Pr(>|t|)   
(Intercept) -5.526e-07  2.053e-07  -2.691  0.00725 **
---
Signif. codes:  0 '***' 0.001 '**' 0.01 '*' 0.05 '.' 0.1 ' ' 1

Approximate significance of smooth terms:
                  edf Ref.df      F  p-value    
s(SQMLAND)      1.000  1.000  0.466    0.495    
s(MEDIANAGE)    1.483  1.834  2.942    0.058 .  
s(MEDHHINC)     1.558  1.954 11.591 1.48e-05 ***
s(MEANHHSIZE)   4.720  5.829  1.224    0.291    
s(PCOWNEROCC)   2.635  3.330  1.927    0.116    
s(PCTURNOVER)   1.000  1.001  1.356    0.245    
s(PCBORNUSA)    1.639  2.052  1.566    0.208    
s(PCUNEMPLOYED) 1.000  1.001  0.779    0.378    
s(SQMLAWN)      1.025  1.049  0.050    0.835    
s(MEDCONSTYR)   8.832  8.988 17.796  < 2e-16 ***
s(FDAYSQM)      5.179  6.346  1.357    0.225    
s(GEOINDEX)     7.422  8.380  7.350 9.70e-10 ***
---
Signif. codes:  0 '***' 0.001 '**' 0.01 '*' 0.05 '.' 0.1 ' ' 1

R-sq.(adj) =  0.391   Deviance explained = 41.6%
GCV = 3.9422e-11  Scale est. = 3.7727e-11  n = 895

Generalized additive model smoothing functions
(analysis/tract-trend/panel-gam-smooth.png)

3.2.3 Random Forest Model

The random forest model lists overall NDVI level (INTERCEPT) as the most important predictor variable, followed by median household income (MEDHHINC), percent born in the US (PCBORNUSA) and median age (MEDIANAGE).

Random forest model NDVI change prediction vs actual values
(analysis/tract-trend/rf-prediction.png)


> importance(rf_model)
             IncNodePurity
INTERCEPT     6.967133e-09
GEOINDEX      6.079780e-09
MEDHHINC      4.986954e-09
PCBORNUSA     3.652985e-09
MEDIANAGE     3.148562e-09
MEANHHSIZE    3.024757e-09
SQMLAND       2.345369e-09
FDAYSQM       2.336801e-09
SQMLAWN       2.192065e-09
PCUNEMPLOYED  2.022879e-09
PCOWNEROCC    1.988081e-09
PCTURNOVER    1.474877e-09
MEDCONSTYR    1.245822e-08

3.2.4 Conditional Inference Tree (Party)

Conditional inference tree NDVI change prediction vs actual values
(analysis/tract-trend/party-prediction.png)


Model formula:
~SLOPE + INTERCEPT + (SQMLAND + MEDIANAGE + MEDHHINC + MEANHHSIZE + 
    PCOWNEROCC + PCTURNOVER + PCBORNUSA + PCUNEMPLOYED + MEDCONSTYR + 
    SQMLAWN + GEOINDEX + FDAYSQM)

Fitted party:
[1] root
|   [2] PCUNEMPLOYED <= 6.2
|   |   [3] MEDCONSTYR <= 1995
|   |   |   [4] MEDHHINC <= 76231
|   |   |   |   [5] MEDCONSTYR <= 1965
|   |   |   |   |   [6] MEDHHINC <= 39786: *
|   |   |   |   |   [7] MEDHHINC > 39786
|   |   |   |   |   |   [8] GEOINDEX <= 466: *
|   |   |   |   |   |   [9] GEOINDEX > 466: *
|   |   |   |   [10] MEDCONSTYR > 1965
|   |   |   |   |   [11] MEDIANAGE <= 61.8
|   |   |   |   |   |   [12] MEDCONSTYR <= 1986
|   |   |   |   |   |   |   [13] PCBORNUSA <= 88.9: *
|   |   |   |   |   |   |   [14] PCBORNUSA > 88.9: *
|   |   |   |   |   |   [15] MEDCONSTYR > 1986
|   |   |   |   |   |   |   [16] MEANHHSIZE <= 2.93: *
|   |   |   |   |   |   |   [17] MEANHHSIZE > 2.93: *
|   |   |   |   |   [18] MEDIANAGE > 61.8: *
|   |   |   [19] MEDHHINC > 76231
|   |   |   |   [20] MEDCONSTYR <= 1993
|   |   |   |   |   [21] MEDCONSTYR <= 1972: *
|   |   |   |   |   [22] MEDCONSTYR > 1972
|   |   |   |   |   |   [23] MEDIANAGE <= 42.6: *
|   |   |   |   |   |   [24] MEDIANAGE > 42.6: *
|   |   |   |   [25] MEDCONSTYR > 1993
|   |   |   |   |   [26] MEANHHSIZE <= 2.95: *
|   |   |   |   |   [27] MEANHHSIZE > 2.95: *
|   |   [28] MEDCONSTYR > 1995
|   |   |   [29] MEDHHINC <= 73512
|   |   |   |   [30] MEDIANAGE <= 58.2: *
|   |   |   |   [31] MEDIANAGE > 58.2: *
|   |   |   [32] MEDHHINC > 73512
|   |   |   |   [33] MEDCONSTYR <= 2005
|   |   |   |   |   [34] MEDCONSTYR <= 2001: *
|   |   |   |   |   [35] MEDCONSTYR > 2001: *
|   |   |   |   [36] MEDCONSTYR > 2005: *
|   [37] PCUNEMPLOYED > 6.2
|   |   [38] PCBORNUSA <= 82.5
|   |   |   [39] MEDIANAGE <= 27.9
|   |   |   |   [40] GEOINDEX <= 374
|   |   |   |   |   [41] SQMLAND <= 244363.56711
|   |   |   |   |   |   [42] MEDCONSTYR <= 1987: *
|   |   |   |   |   |   [43] MEDCONSTYR > 1987: *
|   |   |   |   |   [44] SQMLAND > 244363.56711: *
|   |   |   |   [45] GEOINDEX > 374: *
|   |   |   [46] MEDIANAGE > 27.9: *
|   |   [47] PCBORNUSA > 82.5
|   |   |   [48] MEDCONSTYR <= 1992: *
|   |   |   [49] MEDCONSTYR > 1992
|   |   |   |   [50] GEOINDEX <= 111: *
|   |   |   |   [51] GEOINDEX > 111: *

Number of inner nodes:    25
Number of terminal nodes: 26

Appendix: Variable Correlation

The list below shows the correlation between examined variables, sorted in descending absolute value order. When multiple variables were highly correlated to each other, only one was chosen to avoid confusing the models. The choices were based on presumed dependent relationship; for example, MEDHHINC was chosen over MEDHOMEPRICE since income limits the maximum home price a buyer can afford rather than the other way around. These choices are contestible.

Excluded variables (r >= 0.7):

PCVACANT (222300) and HOUSINGUNITS (335481) excluded because of large amount of missing data (not computed from ACS?)

               x            y      r
1     MEDCONSTYR   MEDHOMEAGE   0.98
2   MEDHOMEVALUE MEDHOMEPRICE  0.839
3     MEDSQMHOME MEDHOMEPRICE  0.831
4       MEDHHINC   MEDSQMHOME  0.814
5       MEDHHINC MEDHOMEVALUE  0.767
6       MEDHHINC MEDHOMEPRICE  0.752
7       MEDHHINC    PCCOLLEGE   0.75
8      PCCOLLEGE MEDHOMEVALUE  0.749
9     MEANHHSIZE  PCLIVEALONE -0.741

10     PCCOLLEGE MEDHOMEPRICE    0.7
11  MEDHOMEVALUE   MEDSQMHOME  0.694
12     MEDIANAGE   MEANHHSIZE -0.629
13     PCCOLLEGE   MEDSQMHOME  0.592
14    PCOWNEROCC   PCTURNOVER  0.561
15     PCCOLLEGE    PCBORNUSA  0.532
16      MEDHHINC    PCBORNUSA  0.517
17       SQMLAWN MEDHOMEPRICE  0.514
18    MEDSQMHOME   MEDCONSTYR  0.501
19    MEDSQMHOME   MEDHOMEAGE  0.492
20      MEDHHINC   MEDCONSTYR  0.486
21      MEDHHINC   MEDHOMEAGE  0.486
22       SQMLAND     SQMWATER  0.482
23     PCBORNUSA   MEDCONSTYR   0.48
24     PCBORNUSA   MEDHOMEAGE  0.478
25     MEDIANAGE    PCBORNUSA  0.468
26      MEDHHINC  PCLIVEALONE -0.466
27       SQMLAWN   MEDSQMHOME  0.462
28    MEANHHSIZE    PCBORNUSA -0.458
29     PCBORNUSA   MEDSQMHOME  0.458
30   PCLIVEALONE   MEDSQMHOME -0.452
31  MEDHOMEVALUE      SQMLAWN  0.443
32     MEDIANAGE     PCVACANT  0.417
33       SQMLAND      SQMLAWN  0.414
34     PCBORNUSA PCUNEMPLOYED -0.414
35    MEANHHSIZE    PCCOLLEGE -0.407
36     PCBORNUSA MEDHOMEPRICE    0.4
37      MEDHHINC      SQMLAWN  0.391
38     PCBORNUSA MEDHOMEVALUE  0.381
39      MEDHHINC PCUNEMPLOYED -0.378
40  PCUNEMPLOYED   MEDHOMEAGE -0.366
41     MEDIANAGE    PCCOLLEGE  0.363
42    MEDCONSTYR MEDHOMEPRICE  0.358
43   PCLIVEALONE   MEDHOMEAGE -0.355
44    MEDHOMEAGE MEDHOMEPRICE  0.349
45     MEDIANAGE PCUNEMPLOYED -0.347
46    MEANHHSIZE     PCVACANT -0.336
47   PCLIVEALONE   MEDCONSTYR -0.332
48     PCCOLLEGE PCUNEMPLOYED -0.327
49  PCUNEMPLOYED   MEDSQMHOME -0.325
50  MEDHOMEVALUE   MEDCONSTYR  0.322
51     MEDIANAGE MEDHOMEPRICE  0.321
52     PCCOLLEGE   MEDCONSTYR  0.321
53  PCUNEMPLOYED MEDHOMEPRICE  -0.32
54      SQMWATER      SQMLAWN  0.316
55     MEDIANAGE MEDHOMEVALUE  0.314
56    PCTURNOVER PCUNEMPLOYED  0.307
57  MEDHOMEVALUE   MEDHOMEAGE  0.304
58     PCCOLLEGE   MEDHOMEAGE  0.294
59   PCLIVEALONE     PCVACANT  0.276
60  PCUNEMPLOYED   MEDCONSTYR -0.275
61     MEDIANAGE   PCOWNEROCC  0.273
62  PCUNEMPLOYED MEDHOMEVALUE -0.273
63     MEDIANAGE  PCLIVEALONE  0.272
64          NDVI   MEDCONSTYR -0.269
65     MEDIANAGE      SQMLAWN  0.269
66          NDVI   MEDHOMEAGE -0.262
67     PCCOLLEGE      SQMLAWN  0.261
68  HOUSINGUNITS   MEDHOMEAGE   0.26
69    MEANHHSIZE PCUNEMPLOYED  0.255
70     MEDIANAGE   PCTURNOVER  0.246
71  HOUSINGUNITS   MEDCONSTYR  0.244
72          NDVI    PCCOLLEGE  0.243
73    PCTURNOVER MEDHOMEVALUE  0.235
74     MEDIANAGE   MEDSQMHOME  0.229
75     PCBORNUSA      SQMLAWN  0.229
76    PCOWNEROCC    PCCOLLEGE  0.224
77      SQMWATER MEDHOMEPRICE   0.22
78          NDVI     PCVACANT -0.217
79       SQMLAWN   MEDCONSTYR  0.215
80     MEDIANAGE     MEDHHINC  0.214
81    PCOWNEROCC      SQMLAWN  0.208
82   PCLIVEALONE      SQMLAWN -0.204
83       SQMLAWN   MEDHOMEAGE  0.204
84          NDVI HOUSINGUNITS -0.186
85   PCLIVEALONE MEDHOMEPRICE -0.182
86          NDVI MEDHOMEVALUE   0.18
87    MEANHHSIZE MEDHOMEVALUE -0.178
88    PCTURNOVER   MEDHOMEAGE -0.177
89          NDVI MEDHOMEPRICE  0.175
90    MEANHHSIZE MEDHOMEPRICE -0.175
91    PCOWNEROCC PCUNEMPLOYED  0.171
92    PCOWNEROCC MEDHOMEVALUE  0.167
93    PCOWNEROCC    PCBORNUSA  0.161
94  PCUNEMPLOYED      SQMLAWN -0.161
95    PCOWNEROCC   MEDSQMHOME  0.154
96      MEDHHINC   PCOWNEROCC  0.153
97    PCOWNEROCC   MEDCONSTYR  0.152
98      PCVACANT   MEDCONSTYR  0.151
99  HOUSINGUNITS   MEDSQMHOME  2.148
100     PCVACANT HOUSINGUNITS  0.146
101     PCVACANT   MEDHOMEAGE  0.142
102 HOUSINGUNITS    PCBORNUSA  0.137
103 HOUSINGUNITS MEDHOMEVALUE  0.135
104     MEDHHINC     PCVACANT -0.134
105   PCOWNEROCC MEDHOMEPRICE  0.134
106  PCLIVEALONE MEDHOMEVALUE -0.132
107         NDVI     MEDHHINC   0.13
108    PCCOLLEGE   PCTURNOVER   0.13
109     SQMWATER   MEDSQMHOME  0.127
110     PCVACANT PCUNEMPLOYED -0.126
111    MEDIANAGE   MEDCONSTYR  0.124
112     SQMWATER MEDHOMEVALUE  0.123
113   PCTURNOVER      SQMLAWN  0.123
114     PCVACANT MEDHOMEVALUE   0.12
115 HOUSINGUNITS      SQMLAWN   0.12
116     SQMWATER     PCVACANT  0.119
117     MEDHHINC HOUSINGUNITS  0.114
118  PCLIVEALONE PCUNEMPLOYED  0.114
119     MEDHHINC   PCTURNOVER  0.113
120         NDVI  PCLIVEALONE  0.107
121      SQMLAND     PCVACANT  0.107
122      SQMLAND MEDHOMEPRICE  0.107
123    MEDIANAGE   MEDHOMEAGE  0.105
124 HOUSINGUNITS MEDHOMEPRICE  0.104
125 HOUSINGUNITS   PCTURNOVER -0.097
126         NDVI   MEDSQMHOME  0.096
127    PCCOLLEGE HOUSINGUNITS  0.096
128     PCVACANT      SQMLAWN  0.092
129   PCOWNEROCC HOUSINGUNITS -0.088
130   MEANHHSIZE   PCOWNEROCC -0.086
131     PCVACANT MEDHOMEPRICE  0.084
132   PCTURNOVER   MEDSQMHOME  0.081
133         NDVI   MEANHHSIZE  -0.08
134     SQMWATER    MEDIANAGE   0.08
135     SQMWATER     MEDHHINC  0.079
136     SQMWATER    PCCOLLEGE  0.071
137      SQMLAND   MEDSQMHOME  0.069
138      SQMLAND   MEDCONSTYR  0.066
139   PCTURNOVER MEDHOMEPRICE  0.066
140         NDVI      SQMLAWN  0.065
141      SQMLAND   MEDHOMEAGE  0.065
142   MEANHHSIZE   MEDSQMHOME  0.065
143      SQMLAND    MEDIANAGE  0.064
144     PCVACANT   PCOWNEROCC -0.058
145 HOUSINGUNITS PCUNEMPLOYED -0.058
146     PCVACANT    PCBORNUSA  0.057
147    MEDIANAGE HOUSINGUNITS  0.055
148      SQMLAND  PCLIVEALONE -0.053
149      SQMLAND MEDHOMEVALUE  0.051
150   MEANHHSIZE   PCTURNOVER  0.051
151         NDVI    PCBORNUSA   0.05
152  PCLIVEALONE   PCTURNOVER  0.045
153     SQMWATER   MEDCONSTYR  0.043
154     SQMWATER   MEDHOMEAGE  0.042
155         NDVI    MEDIANAGE -0.041
156         NDVI      PMINPET  0.041
157     SQMWATER   MEANHHSIZE -0.041
158  PCLIVEALONE    PCCOLLEGE  0.039
159   PCTURNOVER      PMINPET -0.039
160     PCVACANT   MEDSQMHOME -0.038
161 HOUSINGUNITS      PMINPET -0.038
162     MEDHHINC   MEANHHSIZE  0.036
163   MEANHHSIZE      SQMLAWN -0.034
164  PCLIVEALONE HOUSINGUNITS -0.034
165     SQMWATER  PCLIVEALONE -0.033
166     SQMWATER PCUNEMPLOYED -0.033
167   PCTURNOVER   MEDCONSTYR -0.032
168         NDVI      SQMLAND  -0.03
169      SQMLAND PCUNEMPLOYED  -0.03
170     SQMWATER   PCOWNEROCC   0.03
171         NDVI   PCTURNOVER  0.027
172     SQMWATER    PCBORNUSA  0.027
173      SQMLAND    PCCOLLEGE -0.025
174     SQMWATER HOUSINGUNITS  0.025
175     PCVACANT    PCCOLLEGE -0.025
176   PCOWNEROCC   MEDHOMEAGE  0.023
177  PCLIVEALONE   PCOWNEROCC  0.022
178   PCTURNOVER    PCBORNUSA  0.021
179   MEANHHSIZE HOUSINGUNITS  -0.02
180   MEANHHSIZE   MEDCONSTYR  -0.02
181     PCVACANT   PCTURNOVER  -0.02
182   PCOWNEROCC      PMINPET  -0.02
183 PCUNEMPLOYED      PMINPET -0.019
184      SQMLAND    PCBORNUSA  0.018
185   MEANHHSIZE   MEDHOMEAGE -0.018
186         NDVI PCUNEMPLOYED -0.017
187         NDVI   PCOWNEROCC -0.016
188      SQMLAND HOUSINGUNITS  0.015
189      SQMLAND   MEANHHSIZE -0.014
190      SQMLAND   PCOWNEROCC  0.014
191      SQMLAND   PCTURNOVER  0.013
192 MEDHOMEVALUE      PMINPET -0.013
193     PCVACANT      PMINPET -0.012
194      SQMLAND     MEDHHINC  0.007
195     SQMWATER   PCTURNOVER  0.007
196  PCLIVEALONE      PMINPET -0.007
197    PCCOLLEGE      PMINPET -0.005
198   MEDHOMEAGE      PMINPET  0.005
199   MEANHHSIZE      PMINPET -0.004
200    MEDIANAGE      PMINPET -0.003
201   MEDCONSTYR      PMINPET -0.003
202         NDVI     SQMWATER  0.002
203     MEDHHINC      PMINPET -0.002
204  PCLIVEALONE    PCBORNUSA -0.002
205      SQMLAWN      PMINPET -0.002
206    PCBORNUSA      PMINPET  0.001
207   MEDSQMHOME      PMINPET -0.001
208 MEDHOMEPRICE      PMINPET -0.001
209      SQMLAND      PMINPET      0
210     SQMWATER      PMINPET      0